中文

核心特色1

简介

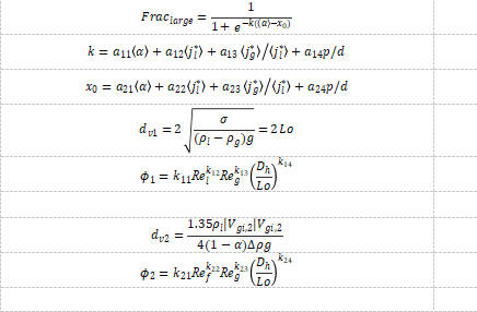
多尺度气泡群的精细化建模与模拟:将气相结构依据尺度与形态(如小气泡、帽状气泡、Taylor气泡、气芯)分解为多个连续分布的群,并通过自主开发的、基于大量棒束实验数据的气泡群份额模型与相界面面积浓度(IAC)模型,实现了各群份额随空泡份额、流动状态与几何参数的平滑、连续过渡。

提交联系方式,即可下载产品PDF文件,查看详情

欢迎添加企业微信好友
沟通进一步技术需求